近年来,猪病疫情频发对养殖业构成了严峻挑战,其中非洲猪瘟、口蹄疫、猪痘以及皮炎等疾病尤为常见,严重影响了生猪健康和养殖经济。为此,本文提出了一种基于YOLOv8s与SE注意力机制的猪疾病检测系统,旨在实现对上述四类猪病的高效、精准检测,从而为疾病早期预警和防控提供技术支持。
项目信息
编号:PDV-172
大小:447M
运行条件
Python开发环境:
– PyCharm的安装包:PyCharm: Python IDE for Professional Developers
– PyCharm的历史安装包:PyCharm: Python IDE for Professional Developers
– Anaconda的安装包:Anaconda | Start Coding Immediately
– Python开发版本:Python==3.9
需要安装依赖包:
– pip install PyQt5== 5.15.11
– pip install Pillow==9.5.0
– pip install opencv-python==4.10.0.84
– pip install torch==2.4.0
– pip install torchvision==0.19.0
– pip install numpy== 1.26.4
– pip install matplotlib==3.9.2
项目介绍
近年来,猪病疫情频发对养殖业构成了严峻挑战,其中非洲猪瘟、口蹄疫、猪痘以及皮炎等疾病尤为常见,严重影响了生猪健康和养殖经济。为此,本文提出了一种基于YOLOv8s与SE注意力机制的猪疾病检测系统,旨在实现对上述四类猪病的高效、精准检测,从而为疾病早期预警和防控提供技术支持。
系统采用先进的YOLOv8s目标检测网络作为核心架构,在此基础上引入SE(Squeeze-and-Excitation)注意力模块,通过自适应调整各通道特征的权重,增强了模型对细微病变特征的提取能力和对复杂背景的鲁棒性。为应对实际环境中多样化的病态图像,本文在构建数据集时采集了大量来自不同养殖场和环境下的猪病图像,并通过数据增强、旋转、翻转、颜色变换等方法扩充数据集,提高了模型的泛化能力。
改进后的检测系统在模型训练中综合采用交叉熵损失和IoU(Intersection over Union)评价指标,确保在目标定位和分类任务上均达到较高的准确性与召回率。与此同时,为提升模型在实际应用中的灵活性与便捷性,本文基于PyQt5开发了一个用户友好的图形界面,使用户能够实时加载图像、进行疾病检测并获得直观的检测结果。该界面不仅支持实时图像处理,还允许用户对模型参数进行动态调节,以适应不同场景下的检测需求。
大量实验结果表明,本文提出的基于YOLOv8s与SE注意力机制的猪疾病检测系统在检测精度、响应速度及鲁棒性等方面均表现出色,能够在复杂环境下准确识别非洲猪瘟、口蹄疫、猪痘和皮炎等疾病,为养殖场提供了一种高效、智能的早期预警技术。综上所述,本系统不仅具备较高的技术创新性和实用性,同时为现代化猪病防控提供了一种有效解决方案,对保障养殖业的健康持续发展具有重要意义。
项目文档
Tipps:提供专业的项目文档撰写服务,覆盖技术类、科研类等多种文档需求。我们致力于帮助客户精准表达项目目标、方法和成果,提升文档的专业性和说服力。
– 点击查看:写作流程
1.撰写内容

2.撰写流程

3.撰写优势

4.适用人群

期待与您的沟通!我们致力于为您提供专业、高效的项目文档撰写服务,无论是通过QQ、邮箱,还是微信,您都能快速找到我们。专业团队随时待命,为您的需求提供最优解决方案。立即联系,开启合作新篇章!
算法流程
Tipps:深入解析项目的算法流程,逐步探索技术实现的核心逻辑。从数据加载与预处理开始,到核心算法的设计与优化,再到结果的可视化呈现,每一步都将以清晰的结构和简洁的语言展现,揭示技术背后的原理与实现思路。

代码讲解
Tipps:我们致力于为您提供全面的项目代码解析服务,深入剖析核心实现、关键逻辑及优化策略,帮助您快速理解项目运行机制。同时,针对您在使用项目中可能遇到的难点,我们提供高效的后续答疑支持,确保问题得到及时、专业的解决。
无论您是初学者还是经验丰富的开发者,我们都能为您量身定制指导方案,助您从掌握到精通。如果您有任何需求或疑问,欢迎随时与我们联系!
1.服务优势

2.联系方式

欢迎随时联系我们!我们将竭诚为您提供高效、专业的技术支持,量身定制解决方案,助您轻松应对技术挑战。
硬件环境
我们使用的是两种硬件平台配置进行系统调试和训练:
(1)外星人 Alienware M16笔记本电脑:

(2)惠普 HP暗影精灵10 台式机:

上面的硬件环境提供了足够的计算资源,能够支持大规模图像数据的训练和高效计算。GPU 的引入显著缩短了模型训练时间。
使用两种硬件平台进行调试和训练,能够更全面地验证系统的性能、适应性和稳定性。这种方法不仅提升了系统的鲁棒性和泛化能力,还能优化开发成本和效率,为实际应用场景的部署打下良好基础。
模型训练
Tipps:模型的训练、评估与推理
1.YOLOv8的基本原理
YOLOv8是一个SOTA模型,它建立在Yolo系列历史版本的基础上,并引入了新的功能和改进点,以进一步提升性能和灵活性,使其成为实现目标检测、图像分割、姿态估计等任务的最佳选择。其具体创新点包括一个新的骨干网络、一个新的Ancher-Free检测头和一个新的损失函数,可在CPU到GPU的多种硬件平台上运行。

YOLOv8是Yolo系列模型的最新王者,各种指标全面超越现有对象检测与实例分割模型,借鉴了Yolov5、Yolov6、YoloX等模型的设计优点,在全面提升改进Yolov5模型结构的基础上实现,同时保持了Yolov5工程化简洁易用的优势。
Yolov8模型网络结构图如下图所示:

2.YOLOv8算法改进
注意力机制是深度学习常用的一个小技巧,它有多种多样的实现形式,尽管实现方式多样,但是每一种注意力机制的实现的核心都是类似的,就是注意力。
注意力机制的核心重点就是让网络关注到它更需要关注的地方。
当我们使用卷积神经网络去处理图片的时候,我们会更希望卷积神经网络去注意应该注意的地方,而不是什么都关注,我们不可能手动去调节需要注意的地方,这个时候,如何让卷积神经网络去自适应的注意重要的物体变得极为重要。
注意力机制就是实现网络自适应注意的一个方式。
一般而言,注意力机制可以分为通道注意力机制,空间注意力机制,以及二者的结合。
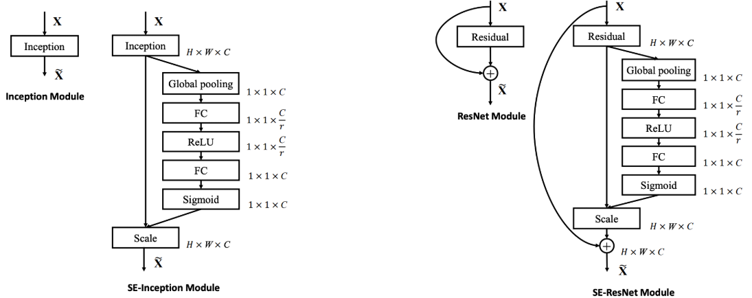
(1)SENet的实现
SE注意力模块是一种通道注意力模块,SE模块能对输入特征图进行通道特征加强,且不改变输入特征图的大小。
SE模块的S(Squeeze):对输入特征图的空间信息进行压缩
SE模块的E(Excitation):学习到的通道注意力信息,与输入特征图进行结合,最终得到具有通道注意力的特征图
SE模块的作用是在保留原始特征的基础上,通过学习不同通道之间的关系,提高模型的表现能力。在卷积神经网络中,通过引入SE模块,可以动态地调整不同通道的权重,从而提高模型的表现能力。
实现方式:
A、对输入进来的特征层进行全局平均池化。
B、然后进行两次全连接,第一次全连接神经元个数较少,第二次全连接神经元个数和输入特征层相同。
C、在完成两次全连接后,我们再取一次Sigmoid将值固定到0-1之间,此时我们获得了输入特征层每一个通道的权值(0-1之间)。
D、在获得这个权值后,我们将这个权值乘上原输入特征层即可。

SE模块是一个即插即用的模块,在上图中左边是在一个卷积模块之后直接插入SE模块,右边是在ResNet结构中添加了SE模块。

(2)CBAM的实现
CBAM将通道注意力机制和空间注意力机制进行一个结合,相比于SENet只关注通道的注意力机制可以取得更好的效果。其实现示意图如下所示,CBAM会对输入进来的特征层,分别进行通道注意力机制的处理和空间注意力机制的处理。

下图是通道注意力机制和空间注意力机制的具体实现方式:
图像的上半部分为通道注意力机制,通道注意力机制的实现可以分为两个部分,我们会对输入进来的单个特征层,分别进行全局平均池化和全局最大池化。之后对平均池化和最大池化的结果,利用共享的全连接层进行处理,我们会对处理后的两个结果进行相加,然后取一个sigmoid,此时我们获得了输入特征层每一个通道的权值(0-1之间)。在获得这个权值后,我们将这个权值乘上原输入特征层即可。
图像的下半部分为空间注意力机制,我们会对输入进来的特征层,在每一个特征点的通道上取最大值和平均值。之后将这两个结果进行一个堆叠,利用一次通道数为1的卷积调整通道数,然后取一个sigmoid,此时我们获得了输入特征层每一个特征点的权值(0-1之间)。在获得这个权值后,我们将这个权值乘上原输入特征层即可。

(3)ECA的实现
ECANet是也是通道注意力机制的一种实现形式。ECANet可以看作是SENet的改进版。
ECANet的作者认为SENet对通道注意力机制的预测带来了副作用,捕获所有通道的依赖关系是低效并且是不必要的。
在ECANet的论文中,作者认为卷积具有良好的跨通道信息获取能力。
ECA模块的思想是非常简单的,它去除了原来SE模块中的全连接层,直接在全局平均池化之后的特征上通过一个1D卷积进行学习。
既然使用到了1D卷积,那么1D卷积的卷积核大小的选择就变得非常重要了,了解过卷积原理的同学很快就可以明白,1D卷积的卷积核大小会影响注意力机制每个权重的计算要考虑的通道数量。用更专业的名词就是跨通道交互的覆盖率。
如下图所示,左图是常规的SE模块,右图是ECA模块。ECA模块用1D卷积替换两次全连接。

(4)CA的实现

该文章的作者认为现有的注意力机制(如CBAM、SE)在求取通道注意力的时候,通道的处理一般是采用全局最大池化或平均池化,这样会损失掉物体的空间信息。作者期望在引入通道注意力机制的同时,引入空间注意力机制,作者提出的注意力机制将位置信息嵌入到了通道注意力中。
CA注意力的实现如图所示,可以认为分为两个并行阶段:
将输入特征图分别在为宽度和高度两个方向分别进行全局平均池化,分别获得在宽度和高度两个方向的特征图。假设输入进来的特征层的形状为[C, H, W],在经过宽方向的平均池化后,获得的特征层shape为[C, H, 1],此时我们将特征映射到了高维度上;在经过高方向的平均池化后,获得的特征层shape为[C, 1, W],此时我们将特征映射到了宽维度上。
然后将两个并行阶段合并,将宽和高转置到同一个维度,然后进行堆叠,将宽高特征合并在一起,此时我们获得的特征层为:[C, 1, H+W],利用卷积+标准化+激活函数获得特征。
之后再次分开为两个并行阶段,再将宽高分开成为:[C, 1, H]和[C, 1, W],之后进行转置。获得两个特征层[C, H, 1]和[C, 1, W]。
然后利用1×1卷积调整通道数后取sigmoid获得宽高维度上的注意力情况。乘上原有的特征就是CA注意力机制。
2.数据集准备与训练
本研究使用了包含猪疾病检测的数据集,并通过 Labelimg 标注工具对每张图像中的目标边界框(Bounding Box)及其类别进行标注。基于此数据集,采用 YOLOv8n 模型进行训练。训练完成后,对模型在验证集上的表现进行了全面的性能评估与对比分析。整个模型训练与评估流程包括以下步骤:数据集准备、模型训练、模型评估。本次标注的目标类别主要集中于猪疾病检测。数据集总计包含 2466 张图像,具体分布如下:
训练集:1726 张图像,用于模型学习和优化。
验证集:493 张图像,用于评估模型在未见过数据上的表现,防止过拟合。
测试集:247 张图像,用于最终评估模型的泛化能力。
数据集分布直方图
以下柱状图展示了训练集、验证集和测试集的图像数量分布:

部分数据集图像如下图所示:

部分标注如下图所示:

这种数据分布方式保证了数据在模型训练、验证和测试阶段的均衡性,为 YOLOv8n 模型的开发与性能评估奠定了坚实基础。
图片数据的存放格式如下,在项目目录中新建datasets目录,同时将检测的图片分为训练集与验证集放入datasets目录下。

接着需要新建一个data.yaml文件,用于存储训练数据的路径及模型需要进行检测的类别。YOLOv8在进行模型训练时,会读取该文件的信息,用于进行模型的训练与验证。
data.yaml的具体内容如下:

这个文件定义了用于模型训练和验证的数据集路径,以及模型将要检测的目标类别。
数据准备完成后,通过调用train.py文件进行模型训练,epochs参数用于调整训练的轮数,batch参数用于调整训练的批次大小(根据内存大小调整,最小为1)。
CPU/GPU训练代码如下:
训练带有SE(Squeeze-and-Excitation)注意力机制的YOLOv8模型

加载名为 yolov8n.pt 的预训练YOLOv8模型,yolov8n.pt是预先训练好的模型文件。
使用YOLO模型进行训练,主要参数说明如下:
(1)数据集路径 (data.yaml):该文件应包含数据集类别、训练集和验证集路径。
(2)训练图片大小 (imgsz=640):输入网络的图片大小。
(3)训练轮数 (epochs=150):训练 150 轮,保证模型充分学习。
(4)批次大小 (batch=4):每次训练 4 张图片(若显存不足可调小)。
(5)数据加载线程 (workers=0):数据加载线程数,0 代表单线程加载(适用于 Windows)。
(6)训练设备 (device=’0′):指定 GPU 0 进行训练。
(7)优化器 (optimizer=’SGD’):使用 SGD 进行梯度优化(可换成 Adam 或 AdamW)。
(8)训练结果存储路径 (project=’runs/train’):训练好的模型会保存在 runs/train 目录。
(9)模型命名 (name=name):训练结果会以 yolov8s-attention-SE 作为文件夹名称存储。
3.YOLOv8模型训练结果与性能评估
在深度学习的过程中,我们通常通过观察损失函数下降的曲线来了解模型的训练情况。对于 YOLOv8 模型的训练,主要涉及三类损失:定位损失(box_loss)、分类损失(cls_loss)以及动态特征损失(dfl_loss)。这些损失的优化是提升目标检测性能的关键。
损失函数作用说明:
(1)定位损失 (box_loss):表示预测框与标定框之间的误差(GIoU),越小表示定位越准确。
(2)分类损失 (cls_loss):用于衡量锚框与对应的标定分类是否正确,越小表示分类越准确。
(3)动态特征损失 (dfl_loss):DFLLoss用于回归预测框与目标框之间的距离,并结合特征图尺度进行调整,最终提高目标检测的定位准确性。
训练和验证结果文件存储:
训练完成后,相关的训练过程和结果文件会保存在 runs/ 目录下,包括:

(1)损失曲线图(Loss Curves)
(2)性能指标曲线图(mAP、精确率、召回率)
(3)混淆矩阵(Confusion Matrix)
(4)Precision-Recall (P-R) 曲线
损失曲线(Loss Curve)和性能指标分析:

训练指标:
train/box_loss:
含义:边界框回归的损失函数值,表示预测的目标边界框与真实边界框的差异。
趋势:随着迭代进行,该损失值不断下降并趋于平稳,说明模型对目标位置的预测逐步优化并收敛。
train/cls_loss:
含义:分类损失,表示预测类别和真实类别之间的差异。
趋势:曲线随训练迭代持续下降并趋于稳定,表明模型对目标类别的识别越来越准确。
train/dfl_loss:
含义:分布聚合损失(Distribution Focal Loss),用于优化边界框的预测分布。
趋势:与box_loss类似,也不断下降并趋于平稳,代表模型在预测框的精细化上不断改进。
验证指标:
val/box_loss:
含义:验证集上的边界框回归损失,与训练集的 box_loss 类似,但用于验证模型的泛化能力。
趋势:同样逐渐下降并在后期趋于稳定,说明模型在验证集上的定位能力也得到持续提升。
val/cls_loss:
含义:验证集上的分类损失,与训练集的 cls_loss 类似。
趋势:下降并保持在低位,表明模型对各疾病类别的分类在验证集上也表现良好。
val/dfl_loss:
含义:验证集上的分布聚合损失。
趋势:与 train/dfl_loss 相似,呈平滑下降,表示模型对目标边界的细化预测在验证集中同样有效。
性能指标:
metrics/precision(B):
含义:训练过程中的精确率,表示预测为目标的样本中实际为目标的比例。
趋势:曲线整体向上提升并保持高位,说明随着训练进行,模型的误检(False Positive)逐步减少。
metrics/recall(B):
含义:训练过程中的召回率,表示所有真实目标中被正确检测到的比例。
趋势:曲线不断上升并保持稳定,表示模型漏检(False Negative)减少,检测全面性增强。
metrics/mAP50(B):
含义:验证集上的 mAP@0.5,表示 IoU 阈值为 0.5 时的平均精度。
趋势:从低到高不断上升,表明模型在中等严格度的IoU要求下对各目标检测愈发准确。
metrics/mAP50-95(B):
含义:验证集上的 mAP@0.5-0.95,表示多个 IoU 阈值下的平均精度。
趋势:同样呈稳定上升并保持在较高水平,说明模型在不同IoU阈值下都能保持良好的检测效果。
总结:
训练过程中的各项损失(box_loss、cls_loss、dfl_loss)均随迭代显著下降并趋于稳定,而验证集上的Precision、Recall、mAP等指标则不断攀升并保持高位,说明模型成功收敛并在未见数据上同样表现出色。
Precision-Recall(P-R)曲线分析:

曲线说明:
蓝色曲线(ASF 0.919):表示模型对非洲猪瘟的Precision-Recall表现,AP为0.919。
橙色曲线(FMD 0.948):代表模型对口蹄疫的识别精度最高,AP为0.948。
绿色曲线(Swinepox 0.889):说明模型对猪痘的综合检测性能较好,AP为0.889。
红色曲线(dermatitis 0.844):体现模型对皮炎的检测能力相对略低,AP为0.844。
深蓝色曲线(all classes 0.900 mAP@0.5):反映所有类别的平均检测水平,mAP@0.5为0.900。
总结:
该Precision-Recall曲线显示模型在四种猪病(ASF、FMD、Swinepox、dermatitis)上的整体检测表现良好,mAP@0.5达0.900。
混淆矩阵 (Confusion Matrix) 分析
混淆矩阵是用于评估分类模型性能的重要工具,它显示了模型在每一类别上的预测结果与实际情况的对比。

结论:
模型已经具备较高的分类准确率。但对于高风险疾病(如 ASF、FMD)以及背景判定的精细度,还需结合更全面的数据采集和模型微调来持续提升。
4.检测结果识别
模型训练完成后,我们可以得到一个最佳的训练结果模型best.pt文件,在runs/train/weights目录下。我们可以使用该文件进行后续的推理检测。
imgTest.py 图片检测代码如下:

加载所需库:
(1)from ultralytics import YOLO:导入YOLO模型类,用于进行目标检测。
(2)import cv2:导入OpenCV库,用于图像处理和显示。
加载模型路径和图片路径:
(1)path = ‘models/best.pt’:指定预训练模型的路径,这个模型将用于目标检测任务。
(2)img_path = “TestFiles/imagetest.jpg”:指定需要进行检测的图片文件的路径。
加载预训练模型:
(1)model = YOLO(path, task=’detect’):使用指定路径加载YOLO模型,并指定检测任务为目标检测 (detect)。
(2)通过 conf 参数设置目标检测的置信度阈值,通过 iou 参数设置非极大值抑制(NMS)的交并比(IoU)阈值。
检测图片:
(1)results = model(img_path):对指定的图片执行目标检测,results 包含检测结果。
显示检测结果:
(1)res = results[0].plot():将检测到的结果绘制在图片上。
(2)cv2.imshow(“YOLOv8 Detection”, res):使用OpenCV显示检测后的图片,窗口标题为“YOLOv8 Detection”。
(3)cv2.waitKey(0):等待用户按键关闭显示窗口
此代码的功能是加载一个预训练的YOLOv8模型,对指定的图片进行目标检测,并将检测结果显示出来。
执行imgTest.py代码后,会将执行的结果直接标注在图片上,结果如下:

这段输出是基于YOLOv8模型对图片“imagetest.jpg”进行检测的结果,具体内容如下:
图像信息:
(1)处理的图像路径为:TestFiles/imagetest.jpg。
(2)图像尺寸为 640×480 像素。
检测结果:
(1)目标类别: 该图像中检测到了3个“ASF”目标,对应于非洲猪瘟的检测结果。
(2)检测到的个体数: 3
处理速度:
(1)预处理时间: 2.0 毫秒
(2)推理时间: 7.1 毫秒
(3)后处理时间: 71.2 毫秒
系统成功加载并检测了输入图像,准确识别出了非洲猪瘟(ASF)目标,同时给出了详细的性能指标数据。
运行效果
– 运行 MainProgram.py

1.主要功能:
(1)可用于实时检测目标图片中的猪疾病检测;
(2)支持图片、视频及摄像头进行检测,同时支持图片的批量检测;
(3)界面可实时显示目标位置、目标总数、置信度、用时等信息;
(4)支持图片或者视频的检测结果保存。
2.检测参数设置:

(1)置信度阈值:当前设置为0.25,表示检测系统只会考虑置信度高于25%的目标进行输出,置信度越高表示模型对检测结果的确信度越高。
(2)交并比阈值:当前设置为0.70,表示系统只会认为交并比(IoU)超过70%的检测框为有效结果。交并比是检测框与真实框重叠区域的比值,用于衡量两个框的相似程度,值越高表明重叠程度越高。
这两个参数通常用于目标检测系统中,调整后可以影响模型的检测精度和误检率。
这张图表显示了基于YOLOv8模型的目标检测系统的检测结果界面。以下是各个字段的含义解释:

用时(Time taken):
(1)这表示模型完成检测所用的时间为0.134秒。
(2)这显示了模型的实时性,检测速度非常快。
目标数目(Number of objects detected):
(1)检测到的目标数目为1,表示这是当前检测到的第1个目标。
目标选择(下拉菜单):全部:
(1)这里有一个下拉菜单,用户可以选择要查看的目标类型。
(2)在当前情况下,选择的是“全部”,意味着显示所有检测到的目标信息。
3.检测结果说明:

这张图表显示了基于YOLOv8模型的目标检测系统的检测结果界面。以下是各个字段的含义解释:
目标选择:
(1)提供选择检测目标的选项,这里显示为全部,说明当前显示的是所有检测到的目标。
结果(Result):“非洲猪瘟”,表示系统正在高亮显示检测到的“ASF”。
置信度(Confidence):
(1)这表示模型对检测到的目标属于“非洲猪瘟”类别的置信度为95.62%。
(2)置信度反映了模型的信心,置信度越高,模型对这个检测结果越有信心。
目标位置(Object location):
(1)xmin: 217, ymin: 521:目标的左上角的坐标(xmin, ymin),表示目标区域在图像中的位置。
(2)xmax: 639, ymax: 345:目标的右下角的坐标(xmax, ymax),表示目标区域的边界。
这些坐标表示在图像中的目标区域范围,框定了检测到的“非洲猪瘟”的位置。
这张图显示了一个检测系统的具体结果,包括检测到的目标类型、置信度以及目标在图像中的位置坐标。这类界面通常用于显示模型在图像中定位和识别到的目标,并提供相关的位置信息和置信度评分。
3.图片检测说明
(1)非洲猪瘟

(2)口蹄疫

(3)皮炎

(4)猪痘

点击打开图片按钮,选择需要检测的图片,或者点击打开文件夹按钮,选择需要批量检测图片所在的文件夹。
操作演示如下:
(1)点击目标下拉框后,可以选定指定目标的结果信息进行显示。
(2)点击保存按钮,会对检测结果进行保存,存储路径为:save_data目录下。
检测结果:系统识别出图片中的猪疾病检测,并显示检测结果,包括总目标数、用时、目标类型、置信度、以及目标的位置坐标信息。
4.视频检测说明

点击视频按钮,打开选择需要检测的视频,就会自动显示检测结果,再次点击可以关闭视频。
点击保存按钮,会对视频检测结果进行保存,存储路径为:save_data目录下。
检测结果:系统对视频进行实时分析,检测到猪疾病检测目标并显示检测结果。表格显示了视频中多个检测结果的置信度和位置信息。
这个界面展示了系统对视频帧中的多目标检测能力,能够准确识猪疾病检测目标,并提供详细的检测结果和置信度评分。
5.摄像头检测说明

点击打开摄像头按钮,可以打开摄像头,可以实时进行检测,再次点击,可关闭摄像头。
检测结果:系统连接摄像头进行实时分析,检测到猪疾病检测目标并显示检测结果。实时显示摄像头画面,并将检测到的行为位置标注在图像上,表格下方记录了每一帧中检测结果的详细信息。
6.保存图片与视频检测说明

点击保存按钮后,会将当前选择的图片(含批量图片)或者视频的检测结果进行保存。
检测的图片与视频结果会存储在save_data目录下。
保存的检测结果文件如下:

图片文件保存的csv文件内容如下,包括图片路径、目标在图片中的编号、目标类别、置信度、目标坐标位置。
注:其中坐标位置是代表检测框的左上角与右下角两个点的x、y坐标。

(1)图片保存

(2)视频保存

– 运行 train.py
1.训练带有SE(Squeeze-and-Excitation)注意力机制的YOLOv8模型

(1)数据集路径 (data.yaml):该文件应包含数据集类别、训练集和验证集路径。
(2)训练图片大小 (imgsz=640):输入网络的图片大小。
(3)训练轮数 (epochs=150):训练 150 轮,保证模型充分学习。
(4)批次大小 (batch=4):每次训练 4 张图片(若显存不足可调小)。
(5)数据加载线程 (workers=0):数据加载线程数,0 代表单线程加载(适用于 Windows)。
(6)训练设备 (device=’0′):指定 GPU 0 进行训练。
(7)优化器 (optimizer=’SGD’):使用 SGD 进行梯度优化(可换成 Adam 或 AdamW)。
(8)训练结果存储路径 (project=’runs/train’):训练好的模型会保存在 runs/train 目录。
(9)模型命名 (name=name):训练结果会以 yolov8s-attention-SE 作为文件夹名称存储。
虽然在大多数深度学习任务中,GPU通常会提供更快的训练速度。
但在某些情况下,可能由于硬件限制或其他原因,用户需要在CPU上进行训练。
温馨提示:在CPU上训练深度学习模型通常会比在GPU上慢得多,尤其是像YOLOv8这样的计算密集型模型。除非特定需要,通常建议在GPU上进行训练以节省时间。
2.训练日志结果

这张图展示了使用YOLOv8进行模型训练的详细过程和结果。
训练总时长:
(1)模型在训练了150轮后,总共耗时3.188小时,运行环境为 NVIDIA GeForce RTX 4070 Ti SUPER GPU。
mAP50和mAP50-95:
(1)mAP50:87.9%。
(2)mAP50-95:77.2%。
速度:
(1)0.2ms 预处理时间
(2)2.9ms 推理时间
(3)0.4ms 后处理时间
结果保存:
(1)Results saved to runs\detect\train_v8:验证结果保存在 runs\detect\train_v8 目录下。
完成信息:
(1)Process finished with exit code 0:表示整个验证过程顺利完成,没有报错。
总结:
该模型在四类常见猪病检测上表现优秀,训练过程稳定收敛,最终验证精度与速度均处于较高水平,为后续在实际生产场景中的快速部署与应用打下了良好基础。
远程部署
Tipps:购买后可有偿协助安装,确保运行成功。
– 远程工具:Todesk 、向日葵远程控制软件
– 操作系统:Windows OS
– 客服QQ:3666308803
项目文件

文件目录
Tipps:完整项目文件清单如下:

通过这些完整的项目文件,不仅可以直观了解项目的运行效果,还能轻松复现,全面展现项目的专业性与实用价值!


评论(0)