本研究旨在预测纽约市的交通流量,利用深度学习模型对交通流量进行精确预测。
项目信息
编号:PDL-4
大小:66M
运行条件
Python开发环境:
– PyCharm的安装包:PyCharm: Python IDE for Professional Developers
– PyCharm的历史安装包:PyCharm: Python IDE for Professional Developers
– Anaconda的安装包:Anaconda | Start Coding Immediately
– Python开发版本:Python==3.8.5
需要安装依赖包:
– pip install torch==2.3.1
– pip install torchvision==0.18.1
– pip install numpy==1.24.0
– pip install scikit-learn==1.5.1
项目介绍
探讨了CNN-GRU、CNN-LSTM、GRU和LSTM等多种模型在交通流量预测中的应用与表现。通过数据加载、特征提取、模型训练与评估,最终实现了对交通流量的高精度预测。

实验结果表明,综合考虑多种模型的预测结果能够显著提高预测准确性,为交通管理和规划提供重要参考依据。
项目文档
Tipps:可以根据您的需求进行写作,确保文档原创!
– 项目文档:写作流程

算法流程

代码讲解
Tipps:仅对main.py部分代码简要讲解。该项目可以按需有偿讲解,提供后续答疑。

运行效果
– 运行weiqi.py
日志输出图

1.日志内容:显示了模型训练过程中的详细信息,包括每个epoch(训练周期)的迭代次数(Iteration)、训练损失(Train Loss)、训练集和测试集上的RMSE、MAE、MAPE和Loss。
2.具体信息:
(1)每10次迭代输出一次当前的训练损失。
(2)每个epoch结束时,输出该epoch的训练集和测试集上的RMSE(均方根误差)、MAE(平均绝对误差)、MAPE(平均绝对百分比误差)和损失(Loss)。
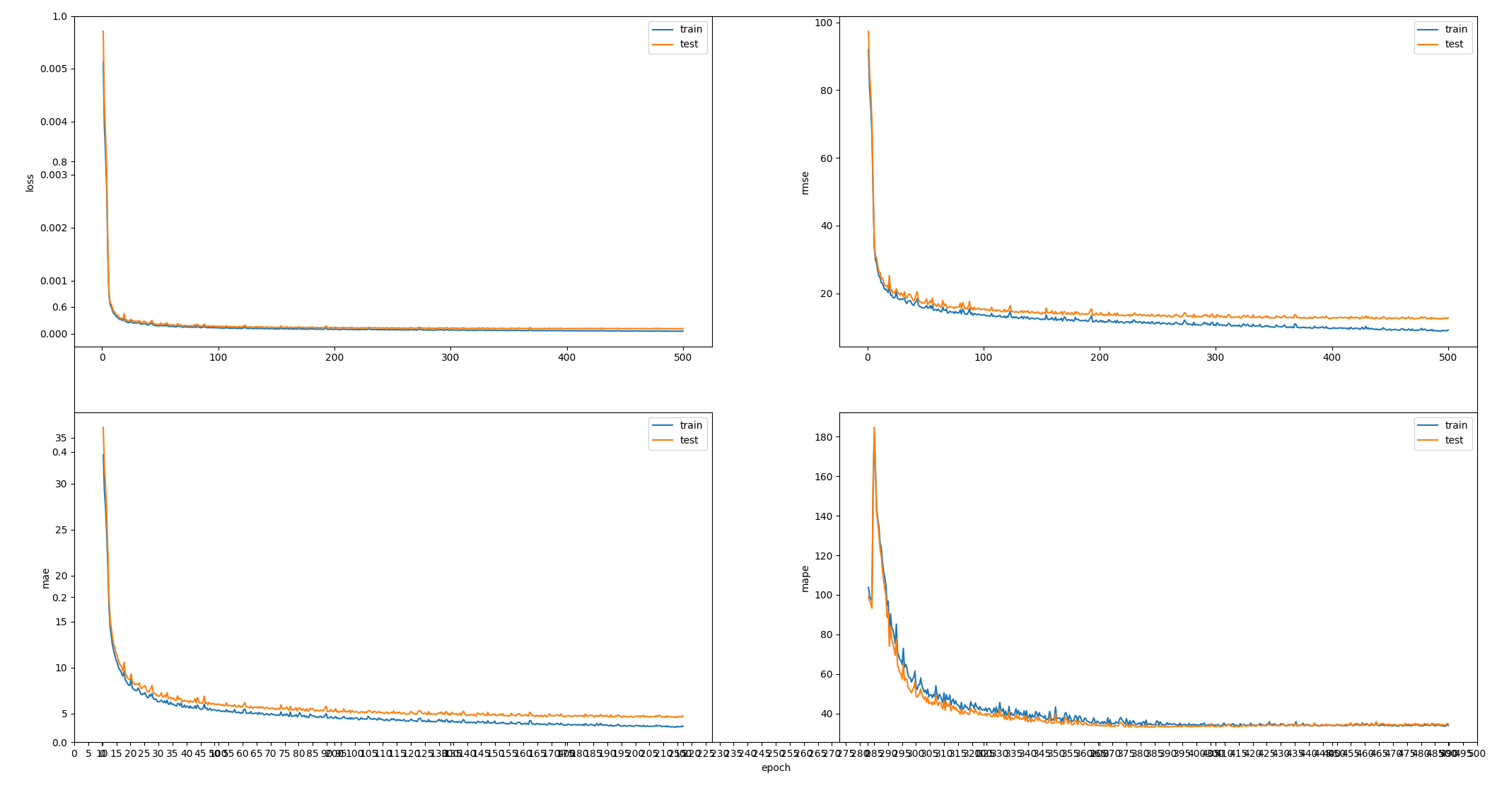
性能指标曲线图

1.曲线内容:展示了在训练过程中模型的训练集和测试集上的性能变化情况。
2.具体图表:
(1)左上图(Loss曲线):显示训练集和测试集上的损失值随epoch变化的曲线。可以观察到,随着训练进行,损失值逐渐减小并趋于稳定。
(2)右上图(RMSE曲线):显示训练集和测试集上的RMSE值随epoch变化的曲线。RMSE反映了预测值与真实值之间的平均误差。
(3)左下图(MAE曲线):显示训练集和测试集上的MAE值随epoch变化的曲线。MAE反映了预测值与真实值之间的平均绝对误差。
(4)右下图(MAPE曲线):显示训练集和测试集上的MAPE值随epoch变化的曲线。MAPE反映了预测值与真实值之间的平均绝对百分比误差。
远程部署
Tipps:购买后可有偿协助安装,确保运行成功。
– 远程工具:Todesk 、向日葵远程控制软件
– 操作系统:Windows OS
项目文件

文件目录
Tipps:完整项目文件清单如下:
项目目录
– 1.Code (完整代码:确保运行成功)
– 2.Result (运行结果:真实运行截图)
– 3.Demo (演示视频:真实运行录制)


评论(0)